Rak jelita grubego to jeden z najczęściej diagnozowanych nowotworów na świecie i druga najczęstsza globalna przyczyna zgonów z powodu raka. Co roku diagnozuje się blisko 1,9 miliona nowych przypadków i odnotowuje ponad 900 tysięcy zgonów.[1] Choć statystyki nie napawają optymizmem, dobra wiadomość jest taka, że dieta stanowi kluczowy, modyfikowalny czynnik ryzyka w rozwoju tej choroby.[2] Naukowcy nieustannie poszukują składników żywności, które mogą pomóc w profilaktyce raka, a niedawna publikacja naukowa rzuca nowe światło na niezwykłą moc pewnej grupy warzyw: warzyw krzyżowych.
Silny sprzymierzeniec w walce z rakiem jelita grubego
Warzywa krzyżowe (określane również jako kapustne) to prawdziwe superbohaterki na naszych talerzach. Do tej grupy należą popularne i łatwo dostępne w naszej szerokości geograficznej produkty: brokuły, kalafior, kapusta (biała, czerwona, włoska), jarmuż, brukselka czy rzodkiewka. Ich wyjątkowość tkwi w bogactwie składników odżywczych, w tym flawonoidów, błonnika, witaminy C i karotenoidów.[3]
Jednak to, co naprawdę wyróżnia te warzywa, to obecność glukozynolanów.[4] Gdy rozgryzamy lub kroimy warzywa krzyżowe, powstają z nich aktywne substancje (tj. sulforafan), które wspierają organizm w unieszkodliwianiu rakotwórczych związków, zatrzymują rozwój nieprawidłowych komórek i pomagają im obumierać w naturalny sposób.[5]
Doniesienia z „BMC Gastroenterology”
Aby dostarczyć najbardziej wiarygodnych informacji, naukowcy z Chin przeprowadzili systematyczny przegląd i metaanalizę opublikowaną w renomowanym czasopiśmie „BMC Gastroenterology” w 2025 roku.[6]
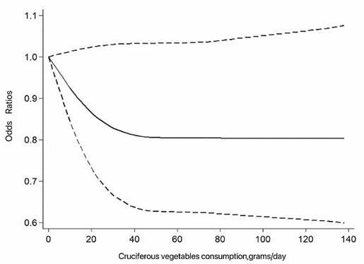
W swoim obszernym badaniu autorzy przeanalizowali dane z 17 wcześniej opublikowanych badań, które łącznie obejmowały prawie 640 000 uczestników, w tym 97 595 przypadków raka jelita grubego. Ich głównym celem było nie tylko potwierdzenie związku między spożyciem warzyw krzyżowych a ryzykiem raka jelita grubego, ale przede wszystkim ilościowe określenie zależności dawka-reakcja. Innymi słowy, badacze chcieli dowiedzieć się, ile warzyw krzyżowych należy spożywać, aby osiągnąć optymalny efekt ochronny.
Kluczowe odkrycia
Wyniki metaanalizy są przyniosły następujące wnioski:
- Stwierdzono odwrotną korelację między spożyciem warzyw krzyżowych a ryzykiem raka jelita grubego. Oznacza to, że osoby regularnie spożywające warzywa krzyżowe miały niższe ryzyko zachorowania na ten nowotwór.
- Analiza wykazała nieliniową zależność między dawką a reakcją, mianowicie:
- Już przy spożyciu około 20 gramów warzyw krzyżowych dziennie obserwowano znaczący spadek ryzyka rozwoju raka jelita grubego.
- Największa redukcja ryzyka, czyli optymalny efekt ochronny, osiągana była przy dziennym spożyciu 40-60 gramów warzyw krzyżowych. Codzienne spożywanie ich w ilości 40-60 gramów wiązało się z redukcją ryzyka rozwoju raka jelita grubego o 20-26% w porównaniu do osób spożywających mniejsze ilości lub wcale.
- Powyżej 60 gramów dziennie, efekt ochronny – choć nadal obecny – przestawał znacząco rosnąć, co może sugerować nasycenie kluczowych mechanizmów biologicznych.
Zatem optymalne spożycie warzyw krzyżowych wynosi 40-60 gramów. Aby to sobie zwizualizować: jedna porcja warzyw krzyżowych to około 80 gramów, czyli dziennie zjadać powinniśmy około połowy do trzech czwartych porcji.

Włącz warzywa krzyżowe do codziennej diety
W świetle tych odkryć, włączenie warzyw krzyżowych do codziennej diety wydaje się oczywistością. Jak to zrobić?
- Włącz je do codziennej diety: nawet niewielka ilość, np. kilka różyczek brokułów lub kalafiora, garść jarmużu, plasterek kapusty dodany do posiłku, zadziała na Twoją korzyść. Dodawaj je do sałatek, zup, zapiekanek, smażonych potraw, smoothie (np. jarmuż) lub jako zdrowy dodatek do obiadu.
- Stawiaj na przekąski: surowe paski kalafiora czy brokułów z hummusem to pyszna i zdrowa przegryzka. Sięgaj po nią na II śniadanie czy podwieczorek.
- Eksperymentuj: nie lubisz brukselki? Sięgnij po rzodkiewkę lub kalarepę. Różnorodność to podstawa.
Już teraz zapamiętaj, że włączając 40-60 gramów wartościowych warzyw krzyżowych do swojej diety, możesz znacząco obniżyć ryzyko zachorowania na raka jelita grubego. Twoje jelita podziękują Ci za to!
[1] Bray F, Ferlay J, Soerjomataram I, Siegel RL, Torre LA, Jemal A. Global cancer statistics 2018: GLOBOCAN estimates of incidence and mortality worldwide for 36 cancers in 185 countries. CA Cancer J Clin. 2018;68(6):394–424.
[2] Herr I, Buchler MW. Dietary constituents of broccoli and other cruciferous vegetables: implications for prevention and therapy of cancer. Cancer Treat Rev. 2010;36:377–83.
[3] Murillo G, Mehta RG. Cruciferous vegetables and cancer prevention. Nutr Cancer. 2001;41(1–2):17–28.
[4] Higdon JV, Delage B, Williams DE, Dashwood RH. Cruciferous vegetables and human cancer risk: epidemiologic evidence and mechanistic basis. Pharmacol Res. 2007;55:224–36.
[5] Zhang Y, Yao S, Li J. Vegetable-derived isothiocyanates: antiproliferative activity and mechanism of action. Proc Nutr Soc. 2006;65:68–75.
[6] Lai, B., Li, Z. & Li, J. Cruciferous vegetables intake and risk of colon cancer: a dose–response meta-analysis. BMC Gastroenterol 25, 575 (2025). https://doi.org/10.1186/s12876-025-04163-9
